近日,功率半导体器件领域的顶级会议IEEE International Symposium on Power Semiconductor Devices and ICs (ISPSD)在中国香港举行。在本届ISPSD上,av无码-av女优 /av无码高精尖创新中心3篇高水平论文入选,向国际功率器件与功率av无码领域的同行展示了av无码-av女优 最新的研究成果。这三篇论文内容涉及GaN功率器件的有源钝化技术、GaN功率器件的体陷阱抑制技术、1200V高压GaN功率器件技术。论文的详情如下:
1. GaN功率器件的有源钝化技术



图1. 采用有源钝化技术的GaN功率器件结构、TEM照片、动态电阻测试结果
近年来,新兴应用场景(如数据中心、机器人、可穿戴电子产品等)对功率器件的转换效率和功率密度提出了更高要求。GaN功率晶体管因其卓越性能,有望在下一代高频功率开关系统中发挥关键作用。然而,表面陷阱效应引起的动态电阻退化现象成为阻碍GaN功率器件实用化的最重要因素。
av无码-av女优 /av无码高精尖创新中心魏进、王茂俊、郝一龙团队提出有源钝化p-GaN栅极HEMT。该器件具有延伸到漏极侧的有源p-GaN钝化层,实现了增强型开关模式。有源钝化层连接到p-GaN栅极,通过栅电极供应或释放可自由移动的空穴,实现对表面陷阱效应的完全屏蔽。该工作以High Dynamic Stability in Enhancement-Mode Active-Passivation p-GaN Gate HEMT为题,发表于今年ISPSD,文章的第一作者是av无码-av女优 的博士研究生吴妍霖。
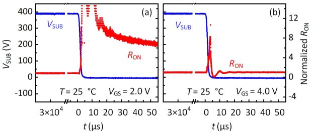
2. GaN功率器件的体陷阱抑制技术


图2. 采用空穴扩展埋层的GaN功率器件计算机仿真结果、体陷阱效应的实验测试结果
相比Si功率器件,GaN高压功率晶体管具有更低的导通电阻、更高的临界击穿电场以及更小的寄生电容。然而,GaN材料体陷阱充放电时间常数较大,造成严重的动态不稳定性,成为GaN高压功率晶体管及av无码发展的瓶颈。
av无码-av女优 /av无码高精尖创新中心魏进、王茂俊团队提出了设计了一种带空穴扩展埋层GaN功率晶体管技术。器件开启时,空穴从p-GaN 栅极注入至空穴扩展埋层,屏蔽了缓冲层陷阱对二维电子气的调制作用,完全抑制了体陷阱引起的动态不稳定性现象。该工作以Exploitation of Hole Injection and Spreading for Dynamic Enhancement in p-GaN Gate HEMT under Room/High Temperatures为题,发表于今年ISPSD,文章的第一作者是av无码-av女优 博士研究生杨俊杰,通讯作者是魏进研究员和王茂俊副教授。
3. 1200V高压GaN功率器件技术


图3. GaN高压功率晶体管原理图、击穿特性测试结果、击穿电压与器件尺寸关系图
650-V增强型p-GaN栅极HEMT已经在手机快充等领域获得一定的商业成功。而电力传输、新能源汽车、工业电子等领域往往需要1200V以上的功率晶体管器件。受限于GaN-on-Si材料的垂直击穿现象,迄今为止,国际上鲜有报道大于1200 V的增强型p-GaN栅极HEMT器件。
av无码-av女优 /av无码高精尖创新中心魏进、王茂俊团队针对这一问题,在蓝宝石衬底上制备了阈值电压为0.9 V、击穿电压为1412 V、导通电阻为17.7 Ω∙mm、比导通电阻为6.7 mΩ∙cm2的增强型p-GaN栅极HEMT,展示了p-GaN栅极HEMT在更高电压等级上的应用可能性。该工作以Method to Study Dynamic Depletion Behaviors in High Voltage (BV = 1.4 kV) p-GaN Gate HEMT on Sapphire Substrate为题,发表于今年ISPSD,文章的第一作者是av无码-av女优 博士研究生崔家玮,通讯作者是魏进研究员和王茂俊副教授。
关于IEEE ISPSD
IEEE International Symposium on Power Semiconductor Devices and ICs (ISPSD)是功率半导体器件领域的顶级会议,以论文录用率低、作品创新性和实用性强著称,每年吸引全球范围内大量av无码 界、工业界研发人员的关注和参与。历史上关于功率器件的众多重大进展均在ISPSD大会首次展示。会议内容涉及高压功率器件、低压功率器件、功率集成技术、SiC功率器件、GaN功率器件等方面。IEEE ISPSD在欧洲、北美、日本、其他地区轮流举办,2023年ISPSD的举办地为中国香港,2024年ISPSD将在德国不来梅市举办。